Квартирный гаситель гидроударов

Мембранный бак для компенсации гидравлических ударов в квартирном водопроводе.
Миниатюрный мембранный бак VT.CAR 19 обеспечивает компенсацию гидравлических ударов, возникающих в квартирных системах водоснабжения при открытии и закрытии арматуры с малым временем срабатывания (рычажных кранов и смесителей, электромагнитных клапанов стиральных машин и др.). Кроме того, гаситель гидравлических ударов VT.CAR 19 играет роль расширительного бака, принимающего избыток объема воды, который возникает в трубах при естественном нагреве холодной воды при отсутствии водоразбора. Корпус компенсатора гидроударов VT.CAR 19 изготовлен из нержавеющей стали марки AISI 304L с внутренней разделительной мембраной из EPDM. Небольшие выпуклости на поверхности мембраны обеспечивают ее неплотное примыкание к корпусу и максимальную площадь контакта мембраны с рабочей жидкостью. Емкость квартирного гасителя гидроударов – 0,162 л, заводская настройка давления в воздушной камере – 3,5 бара (при эксплуатации настройка должна на 0,5 бара превышать номинальное давление в системе), максимальное рабочее давление в защищаемом квартирном водопроводе – 10 бар, предельное давление при гидроударе – 20 бар, максимальная рабочая температура воды – 100 °С. Диаметр присоединительной резьбы – ½".
Сантехническая арматура должна обеспечивать плавное открывание и закрывание потока воды в трубопроводах, но сейчас торговля предлагает жильцам огромный ассортимент арматуры и приборов, в которых плавное регулирование невозможно. Учитывая это, ведущие проектные и строительные организации нашей страны предусматривают в проектах установку квартирных гасителей гидравлических ударов.
Общие сведения о гидравлическом ударе
Гидравлический удар — это скачкообразное изменение давление жидкости, протекающей в напорном трубопроводе, возникающее при резком изменении скорости потока. В более развернутом смысле, гидравлический удар представляет собой быстротечное чередование «скачков» и «провалов» давления, сопровождающееся деформацией жидкости и стенок трубы, а также акустическим эффектом, похожим на удар молотком по стальной трубе. При слабых гидравлических ударах звук проявляется в виде «металлических» щелчков, однако даже при таких, казалось бы, незначительных ударах давление в трубопроводе может возрастать весьма значительно.

Стадии гидравлического удара можно проиллюстрировать на следующем примере (рис. 1): пусть на конце квартирного трубопровода, присоединенного к домовому стояку, установлен однорычажный кран или смеситель (именно такие смесители позволяют относительно быстро перекрывать поток).

При перекрытии крана происходят следующие процессы:
1. Пока кран открыт, жидкость движется по квартирному трубопроводу со скоростью v. При этом в стояке и квартирном трубопроводе величина давления р одинаковая.
2. При перекрытии крана и резком торможении потока кинетическая энергия потока переходит в работу деформации стенок трубы и жидкости. Стенки трубы растягиваются, а жидкость сжимается, что ведет к увеличению давления на величину Δp (ударное давление). Зона, в которой произошло увеличение давления называется «зоной сжатия ударной волной», а ее крайнее сечение называется «фронтом ударной волны». Фронт ударной волны распространяется в сторону стояка со скоростью c. Здесь хотелось бы отметить, что допущение о несжимаемости воды, принимаемое при гидравлических расчетах, в данном случае не применяется, так как реальная вода — сжимаемая жидкость, имеющая коэффициент объемного сжатия 4,9 ×10-10 Па-1. То есть, при давлении 20 400 бар (2040 МПа) объем воды уменьшается в два раза.
3. Когда фронт ударной волны дойдет до стояка, вся жидкость в квартирном трубопроводе окажется сжатой, а стенки трубопровода будут растянутыми.
4. Объем жидкости в домовой системе гораздо больше, чем в квартирной разводке, поэтому, когда фронт ударной волны доходит до стояка, избыточное давление жидкости большей частью сглаживается за счет расширения сечения и включения в работу общего объема жидкости в домовой системе. Давление в квартирном трубопроводе начинает выравниваться со стояковым давлением. Но при этом квартирный трубопровод за счет упругости материала стенок восстанавливает свое первоначальное сечение, сжимая жидкость и выдавливая ее в стояк. Зона снятия деформации со стенок трубопровода распространяется к крану со скоростью c.
5. В момент, когда давление в квартирном трубопроводе будет равно первоначальному, также как и скорость жидкости, направление потока будет обратное («нулевая точка»).
6. Теперь жидкость в трубопроводе со скоростью v стремится «оторваться» от крана. Возникает «зона разряжения ударной волны». В этой зоне скорость потока нулевая, а давление жидкости становится ниже первоначального, что приводит к сжатию стенок трубы (уменьшению диаметра). Фронт зоны разряжения передвигается к стояку со скоростью c.
При значительной первоначальной скорости потока разряжение в трубе может привести к снижению давления ниже атмосферного, а также к нарушению неразрывности потока (кавитации). В этом случае в трубопроводе около крана появляется кавитационный пузырь, схлопывание которого приводит к тому, что давление жидкости в зоне отраженной ударной волны становится больше, чем этот же показатель в прямой ударной волне.
7. При достижении фронта сжатия ударной волны стояка скорость потока в квартирном трубопроводе нулевая, а давление жидкости ниже первоначального и ниже, чем давление в стояке. Стенки трубопровода сжаты.
8. Перепад давлений между жидкостью в стояке и квартирном трубопроводе вызывает поступление жидкости в квартирный трубопровод и выравнивание давлений до первоначального значения. В связи с этим стенки трубы также начинают приобретать первоначальные очертания. Так образовывается отраженная ударная волна, и циклы снова повторяются до полного угасания. При этом промежуток времени, в течение которого проходят все стадии и циклы гидравлического удара, как правило, не превышает0,001–0,06 с. Количество циклов может быть различным и зависит от характеристик системы.
На рис. 2 стадии гидравлического удара показаны в графическом виде. График на рис. 2а показывает развитие гидравлического удара, когда давление жидкости в зоне разряжения ударной волны не падает ниже атмосферного (линия 0). График на рис. 2б отображает ударную волну, зона разряжения которой находится ниже атмосферного давления, но гидравлическая сплошность среды не нарушается. В этом случае давление жидкости в зоне разряжения ниже атмосферного, но эффект кавитации не наблюдается. График на рис. 2в отображает случай, когда нарушается гидравлическая неразрывность потока, то есть образуется кавитационная зона, последующее схлопывание которой приводит к возрастанию давления в отраженной ударной волне.

Разновидности гидравлических ударов и основные расчетные положения
В зависимости от скорости, с которой происходит закрытие запорного органа на трубопроводе, гидравлический удар может быть «прямым» и непрямым«. «Прямым» называется удар, при котором перекрытие потока происходит за время меньшее, чем период удара, то есть выполняется условие:

где Tз — время закрытия запорного органа; L — длина трубопровода; c — скорость ударной волны. В противном случае гидравлический удар называется «непрямым». При непрямом ударе скачок давления значительно меньше по величине, так как часть энергии потока демпфируется частичной утечкой через запорный орган.
В зависимости от степени перекрытия потока гидравлический удар может быть «полным» и «неполным». «Полным» является удар, при котором запорный орган полностью перекрывает поток. Если же этого не происходит, то есть часть потока продолжает протекать через запорный орган, то гидравлический удар будет «неполным». В этом случае расчетной скоростью для определения величины гидравлического удара станет разница скоростей потока до и после перекрытия.
Величину повышения давления при прямом полном гидравлическом ударе можно определить по известной формуле Н.Е. Жуковского (в западной технической литературе данная формула приписывается Лоренцо Алливи и Мишо):

где ρ — плотность транспортируемой жидкости, кг/м3; v — скорость транспортируемой жидкости до момента внезапного торможения, м/с.
В данной формуле c — это скорость распространения ударной волны [м/с], определяемая по формуле:

здесь С0 — скорость распространения звука в жидкости, м/с (принимается по табл. 1); D — диаметр трубопровода, м; δ — толщина стенки трубы, м; Еж — объемный модуль упругости жидкости, Па (принимается по табл. 2); Ест — модуль упругости материала стенок трубы, Па (принимается по табл. 3).



Если учесть, что скорость движения воды в квартирных системах не должна превышать 3 м/с (п. 7.6 СНиП 2-04—2001), то для трубопроводов из различных материалов можно вычислить величину повышения давления при возможном прямом полном гидравлическом ударе. Такие сводные данные по некоторым трубам представлены в табл. 3.
При непрямом гидравлическом ударе повышение давления рассчитывается по следующей формуле:

В табл. 4 приведено среднее время срабатывания основной квартирной арматуры. Для каждого типа этой арматуры рассчитана длина трубопровода, более которой гидравлический удар перестает быть прямым.

Возможные последствия гидравлических ударов
В квартирных сетях возникновение гидравлических ударов, конечно, не влечет таких масштабных разрушительных последствий, как на магистральных трубопроводах большого диаметра. Однако и здесь они могут доставить массу хлопот и убытков, если не учитывать возможность их появления.
Периодически повторяющиеся гидравлические удары в квартирной трубной разводке могут стать причиной следующих неприятностей.
1. Сокращение срока службы трубопроводов. Нормативный срок службы внутренних трубопроводов определяется по совокупности характеристик (температура, давление, время), в которых эксплуатируется труба. Даже столь кратковременные, но часто повторяющиеся знакопеременные скачки и провалы давления, происходящие при гидравлическом ударе, существенно искажают картину эксплуатационного режима трубопровода, значительно сокращая срок его безаварийной эксплуатации. В большей степени это относится к полимерным и многослойным трубопроводам.
2. Выдавливание прокладок и уплотнителей в арматуре и соединителях трубопроводов. Этому подвержены такие элементы, как поршневые редукторы давления, шаровые краны, вентили и смесители с резиновыми сальниковыми кольцами, уплотнительные кольца обжимных и пресс-соединителей, а также кольца полусгонов («американок»). В квартирных водосчетчиках выдавливание уплотнительного кольца между измерительной камерой и счетным механизмом может привести к попаданию воды в счетный механизм (фото 1).
3. Даже однократный гидравлический удар может полностью вывести из строя контрольно-измерительные приборы, установленные в квартире. Например, изгиб стрелки манометра от взаимодействия с ограничительным штифтом — явный признак имевшего место гидравлического удара (фото 2).


4. Каждый гидроудар в квартирном трубопроводе из полимерных материалов, выполненном на обжимных, прессовых или надвижных соединителях, неизбежно приводит к микроскопическому «сползанию» соединителя с трубопровода. В конце концов, может наступить момент, когда очередной гидроудар станет критическим — труба полностью «выползет» из соединителя (фото 3).
5. Кавитационные явления, которые могут сопровождать гидравлический удар, нередко являются причиной появления каверн в золотнике и корпусе запорной арматуры. Схлопывание вакуумных пузырьков при кавитации просто «выгрызает» куски металла с поверхности, на которой они образуются. В результате золотник перестает выполнять свою функцию, то есть герметичность запорного органа нарушается. Да и корпус такой арматуры очень быстро выйдет из строя (фото 4).


6. Особую опасность для квартирных трубопроводов, выполненных из многослойных труб, представляет зона разряжения ударной волны при гидравлическом ударе. При клеевом слое низкого качества или наличии непроклеенных участков, образующийся в трубе вакуум отрывает внутренний слой трубы, заставляя его «схлопываться» (фото 5, 6).


При своем частичном схлопывании труба будет продолжать выполнять свою функцию, но с гораздо большим гидравлическим сопротивлением. Однако может произойти и полное схлопывание — в этом случае труба будет перекрыта своим же внутренним слоем. К сожалению, ГОСТ 53630–2009«Трубы напорные многослойные» не требует проведения испытания образцов труб при внутреннем давлении ниже атмосферного. Однако ряд производителей, зная о подобной проблеме, включают в технические условия обязательный пункт о проверке трубы под разряжением. В частности, каждый рулон многослойных труб Valtec подключается к вакуумному насосу, доводящему абсолютное давление в трубе до 0,2 атм (0,8 бар избыточного). После чего с помощью компрессора через трубу прогоняется пенополистирольный шарик с диаметром, чуть меньшим проектного внутреннего диаметра трубы. Рулоны, через которые шарик не смог пройти, беспощадно бракуются и уничтожаются.
Еще одна опасность подстерегает при гидравлическом ударе внутренние трубопроводы горячего водоснабжения. Как известно, температура кипения воды находится в тесной зависимости от давления (табл. 5). Допустим, если в квартирный трубопровод поступает горячая вода с температурой, например, 70 °C, а в зоне разрежения гидроудара давление снижается до абсолютного значения 0,3 атм, то в этой зоне вода превратится в пар. Учитывая, что объем пара при нормальных условиях почти в 1200 раз больше чем объем такой же массы воды, следует ожидать, что данное явление может привести к еще большему росту давления в зоне сжатия ударной волны.

Способы защиты от гидроударов в квартирных системах
Самым действенным и надежным способом защиты от гидравлического удара является увеличение времени перекрытия потока запорным органом. Именно этот способ используется на магистральных трубопроводах. Плавное закрытие задвижки не вызывает никаких разрушительных возмущений в потоке и позволяет избавиться от необходимости установки громоздких и дорогих демпфирующих устройств. В квартирных системах такой способ не всегда приемлем, так как в наш обиход прочно вошли и «однорукие» рычажные смесители, электромагнитные клапаны бытовой техники, и прочая арматура, способная перекрыть поток в короткий промежуток времени. В связи с этим квартирные инженерные системы уже на стадии проекта должны обязательно проектироваться с учетом опасности возникновения гидроудара.
Конструктивные мероприятия, такие как использование эластичных вставок, компенсационных петель и расширителей — широкого распространения не получили. Наибольшей популярностью в настоящее время пользуется специально разработанная для этой цели арматура — пневматические (поршневые рис. 3а и мембранные рис. 3б) или пружинные (рис. 3в) гасители гидроударов.

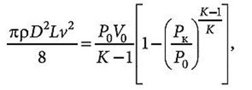
В пневматических гасителе кинетическая энергия потока жидкости гасится энергией сжатия воздуха, давление которого изменяется по адиабате с показателем К = 1,4. Объем воздушной камеры пневматического гасителя определяется из выражения:

где P0 — начальное давление в воздушной камере; Рк — конечное (предельное) давление в воздушной камере. В приведенной формуле левая часть представляет собой выражение для кинетической энергии потока жидкости, а правая — энергии сжатия воздуха.
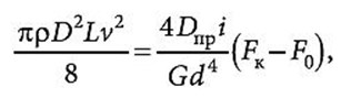
Параметры пружин для пружинных компенсаторов находят из выражения:

где Dпр — средний диаметр пружины; I — количество витков пружины; G — модуль сдвига; Fк — конечная сила, действующая на пружину; F0 — начальная сила, действующая на пружину.
В среде проектировщиков и монтажников бытует мнение, что обратные клапаны и редукторы давления тоже обладают способностью к гашению гидроударов.
Обратные клапаны, действительно, отсекая часть трубопровода в момент резкого перекрытия потока, уменьшают расчетную длину трубопровода, превращая прямой удар в непрямой, меньшей энергии. Однако, резко закрываясь под воздействием стадии сжатия ударной волны, клапан сам превращается в причину гидроудара в трубопроводе, расположенном до него. Далее, в стадии разряжения клапан снова открывается, причем в зависимости от соотношения длин труб до клапана и после него может настать такой особо неприятный момент, когда ударные волны двух участков сложатся, усилив скачок давления.
Поршневые редукторы давления не могут служить гасителями гидравлических ударов в силу своей высокой инерционности — из-за работы сил трения в уплотнителях поршней, они просто не успевают отреагировать на мгновенное изменение давления. Кроме того, такие редукторы сами нуждаются в защите от гидроударов, вызывающих выдавливание уплотнительных колец из гнезд поршней.
Способностью частично поглощать энергию гидроударов обладают мембранные редукторы давления, однако они рассчитаны совсем на другие силовые воздействия, поэтому работа по гашению частых гидроударов быстро выведет их из строя. Кроме того, резкое перекрытие редуктора при ударной волне приводит, как в случае с обратным клапаном, к возникновению ударной волны на участке до редуктора, не защищенном мембраной.
Помимо всего прочего, квартирные гасители гидроударов, кроме выполнения своей основной задачи, выполняют еще несколько важных функций, немаловажных для безопасной эксплуатации квартирных трубопроводов. Эти функции будут рассмотрены на примере мембранного гасителя гидроударов Valtec CAR-19.

Гаситель гидроударов Valtec CAR-19
Квартирный гаситель гидроударов Valtec CAR-19 (фото 7) конструктивно состоит (фото 8) из шаровидного корпуса 1, выполненного из нержавеющей стали AISI 304L, с завальцованной мембраной 2 из EPDM. Благодаря небольшим выпуклостям на поверхности мембраны обеспечивается неплотное ее примыкание к корпусу и максимальная площадь контакта мембраны с транспортируемой средой. Воздушная камера гасителя находится под заводским давлением 3,5 бара, что обеспечивает защиту квартирных трубопроводов, давление в которых не превышает 3 бара.

Гаситель может защищать и трубопроводы с рабочим давлением до 10 бар, но в этом случае необходимо с помощью насоса, присоединяемого к ниппелю 3, увеличить давление в воздушной камере до значения 10,5 бара. В случае, когда рабочее давление в квартирной сети ниже 3 бар, рекомендуется через ниппель 3 выпустить часть воздуха из камеры до значения Рраб + 0,5 бар. Технические характеристики и габаритные размеры гасителя приведены в табл. 6.

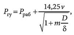
Гаситель способен защищать трубопроводы от гидроударов, давление при которых возрастает до 20 бар, поэтому перед установкой гасителя необходимо проверить, какой величины гидравлический удар может произойти в конкретном квартирном трубопроводе. Расчет возможного давления Ргу при гидроударе можно провести по формуле:

где величина m = Eводы/Ест — принимается по табл. 2.
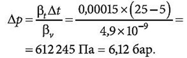
Надежно защищая квартирные трубопроводы от гидроударов, гаситель CAR-19 в силу своих конструктивных особенностей способен воспринимать излишек воды, образующийся при нагревании поступившей холодной воды в период перерыва в водопользовании. Например, если в квартиру, оборудованную на вводе редуктором или обратным клапаном, поступила вода с температурой 5 °C, и за ночь она нагрелась до 25 °C (обычная температура воздуха в санузле), то давление в отсеченном участке трубопровода возрастет на:

В приведенной формуле βt — коэффициент температурного расширения воды, а βv — коэффициент объемного сжатия воды (величина, обратная модулю упругости).
Данная формула не учитывает температурное расширение материала самой трубы, но практика показывает, что каждый градус повышения температуры воды в трубопроводе повышает давление от 2 до 2,5 бар.
Здесь-то и потребуется вторая функция мембранного гасителя гидроударов. Приняв в себя часть воды из нагревающегося трубопровода, он избавит его от чрезмерной нагрузки и поможет избежать аварийной ситуации. В табл. 7 приведены предельные длины трубопроводов, защищаемые гасителем CAR-19 от температурного расширения жидкости.

В квартирных трубопроводов горячего водоснабжения гаситель CAR-19 также выполняет важную задачу по предотвращению вскипания воды в зоне разряжения ударной волны. Поглощая энергию гидроудара, гаситель CAR-19 ликвидирует и эту опасность. Наибольшая эффективность гасителя гидроударов достигается при его установке непосредственно перед защищаемой арматурой. В этом случае возможность появления гидроудара полностью исключается (рис. 4). В квартирных системах, где трубопроводы не имеют значительной протяженности, допускается устанавливать один гаситель на группу приборов. В этом случае следует проверить, чтобы общая длина защищаемых одним гасителем участков трубопроводов не превышала значений, изложенных в табл. 8.


При превышении указанных в таблице значений необходимо устанавливать не один, а несколько гасителей. В случае, когда расчетное давление при гидравлическом ударе превышает максимально допустимое давление для данного гасителя (20 бар для CAR-19), следует выбрать другой тип прибора с более высокими прочностными характеристиками.
В соответствии с п. 7.1.4 СП 30-13330— 2012 «Внутренний водопровод и канализация зданий», положения которого вступили в силу с 1 января 2013 года, «...конструкция водоразборной и запорной арматуры должна обеспечивать плавное открывание и закрывание потока воды». Но это требование вряд ли будет выполняться, так как торговля предлагает жильцам огромный ассортимент арматуры и приборов, в которых плавное регулирование невозможно. Учитывая это, ведущие проектные и строительные организации нашей страны уже сейчас предусматривают в проектах установку квартирных гасителей гидравлических ударов. Например, ДСК-1 города перестраивает производство на выполнение узлов ввода квартирного водопровода по схеме, отображенной на рис. 5.
